What Is Pagerank? And Does It Matter For SEO Anymore?
Topic: Guest Experts
Published:
Written by: Brandon Leuangpaseuth
PageRank is a system for ranking web pages named after Larry Page, a co-founder of Google.
The PageRank algorithm assigned a numerical value to pages as a score based on a site’s backlink profile. Google released the ‘The PageRank toolbar’ to publicly show any webpage’s rank on a 0-to-10 scale.
An increase in your PageRank score meant your page would be more likely to be placed the page at the top of the search engine results page (SERP).
PageRank was such a big deal when it first came out but nowadays, PageRank is hardly ever mentioned. Probably because Google removed any public metrics for this system for ranking web pages.
So if no one talks about it, is it important? Yes, it's still important.
But before we cover why it's still essential for SEO today, we must cover how PageRank works.
Let's dive in.
How Does Google PageRank Work?
PageRank is a link analysis program that evaluates the links on (and links to) a page as a part of Google’s search engine ranking factors. It is one of the many ranking factors used by Google to determine a page’s relevance or importance.
It’s calculated by the number and value of incoming links to a particular website.
Google’s algorithm assumes that if many other influential or trustworthy pages link to a specific page, then that linked webpage is probably important. Pages with a higher number of links from high-quality sites over other websites were placed higher on the search results page.
Based on the link profile, the search engine would assign a relative score of that page’s importance and authority on a 0 to 10 logarithmic scale.
A PageRank score of 0 is typically a low-quality website. On the other hand, a score of 10 would represent only the most authoritative sites on the web.
A backlink is an incoming link to your website from another website, web page, or directory.
One backlink from a site was akin to a vote for the site linked to. The vote is divided among the number of outbound links on the origin webpage. For example, if Page A links to Page B and Page C on a webpage, half the vote would go to Page B, and the other half would be delivered to Page C.
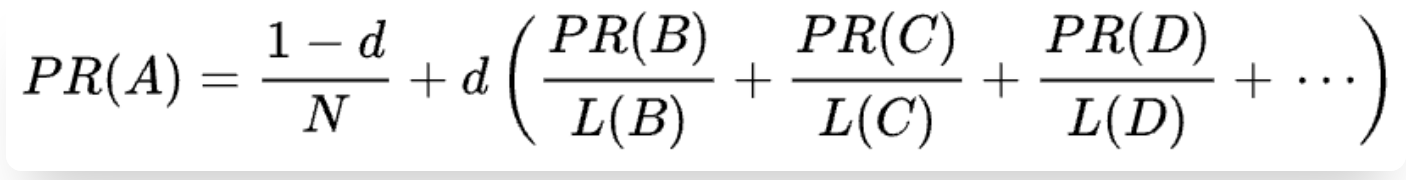
The formula for calculating PageRank is:

A detailed breakdown of what that formula means and how the algorithm is calculated can be found on Wikipedia.
History of Page Rank
Larry Page and Sergey Brin, the co-founders of Google, developed PageRank in 1996 at Stanford University as a way to organize searched content. The algorithm's basic principle was that if a page received many relevant, high-quality backlinks, it must be an authority on a particular subject.
At first, the toolbar was released because Google wanted to show searchers and SEO specialists how to measure the quality of the sites they navigated.
This became an issue when sites and marketers would try to manipulate the rankings by buying and selling links. Buying and selling “high PageRank links” was more difficult as there was no way to find a webpage's “true” PageRank. Links were purchased and sold based on a site’s PageScore, displayed on Google's PageRank toolbar.
Links on higher PageRank sites held more value, which could be sold for a decent amount of money.
Instead of having high-quality content as a determining factor for ranking high on the SERP, the number of links pointing to a webpage manipulated search results.
In 2009, Google removed all references to PageRank from its public relations materials.
Matt Cutts, Google’s Head Of Spam, announced the search engine would stop updating the public version of PageRank in 2011.
In 2016, the Google toolbar PageRank was officially removed from browsers. Google saw that site owners didn’t rely on content quality and purchased links to boost their PageRank value.
Finally, in 2018, the original PageRank patent expired and was not renewed.
The Purpose Of Google PageRank
The purpose of a search engine is to help people find the information they are looking for online using keywords or phrases.
PageRank’s complex algorithm that ranks web pages based on which sites link to others is the core reason for Google's success. Google was not the first search engine. However, Google’s search engine provided higher-quality results for each user over its competitors because of this ranking algorithm.
The purpose of Google PageRank was to simplify how authoritative and trustworthy a site is on the internet.
Link building became a race between SEOs to see who could gather as many backlinks as possible.
Why is Page Rank Important Today?
PageRank helps determine the position on which your website appears on in Google search results page.
Although you cannot publicly view the PageRank score for web pages, PageRank is still valuable as a part of Google’s internal algorithm. It is still arguably the #1 SEO ranking factor (of over 200 others) Google uses to determine the placement of sites on its search engine results page.
Although Google has gotten much more complex since PageRank was released, the algorithm formula remains the core factor for ranking websites on the search results page.
Put simply, if you understand PageRank and link building, you could help a website to rank higher on the results page.
Factors That Influence PageRank
Several factors influence the PageRank of a website. We’ll quickly review each ranking factor.
The number of links
Link attributes
Link placement
Anchor text
The Number Of Links
To measure a website's importance, PageRank counts the quantity and caliber of links pointing to a page. We’ll discuss the importance of internal links and backlinks to increase (or decrease) PageRank.
Internal Linking
PageRank analyzes the authority on a page and is not on a site basis. Internal links are just as important as backlinks.
With proper internal linking, you can distribute the link flow.
The more internal links a page receives, the higher a page’s PageRank would be. This makes sense because if a page is considered important, many pages would be pointing to it. The PageRank of the page would be increased by the number of links from other sites pointing to the page and decreased by the number of outbound links pointing away from the site.
The more links placed on a page, the less PageRank value they pass as the ‘link juice’ would be distributed to each link on the page.
Make Sure Important Pages Are Near The Homepage
When you are structuring your site, organize your most important pages close to your homepage. The reason is that a helpful page should be easily accessible to visitors. A valuable page should not be more than four steps away from the homepage. This helps your pages retain link juice and help your users get to the most crucial pages faster.
Clean Up Orphan Pages
Orphan pages are a serious SEO problem. Google’s web crawlers navigate through your site via links. If you have pages that are not linked to (orphan pages), it will be difficult for Google to find and crawl. You’ll need to clean up orphan pages. Otherwise, you’ll slow web crawlers down and not pass along any PageRank. Without internal links, Google won’t understand the page's significance because the PageRank would be low or nonexistent.
Recommended reading: 5 Effective Internal Linking Strategies to Improve Your SEO
External Links
As we mentioned before, the amount of PageRank a page sends out is distributed amongst the links on a web page. Although the more links you have on a page, the less “value” each link will transfer, you should still include external links on your page.
If you try to hoard links and not link out to anyone, Google may penalize your page. Not linking out to external resources on a page looks suspicious and manipulative, and we know Google doesn’t reward or respect that kind of practice.
PageRank sculpting was the process of manipulating your website's PageRank by controlling the flow of ‘link juice’. This search engine optimization strategy meant carefully organizing how many external links are on a page, adding nofollow tags to links, and carefully optimizing the link structure on a page.
Just be cautious when including external links on a page because you’ll know that the number of links will dilute the PageRank.
Backlinks
PageRank's top priority is crawling, examining, and evaluating backlinks. The authority and quality of the page from which you are gaining links are just as significant to PageRank's evaluation as the quality of your own page.
One strategy to improve your PageRank has many high-quality backlinks. Another method is receiving links from a page regarded as a "recognized authority" — such as a government, health group page, or sites like Forbes. If you want to boost your PageRank, get more high-quality links.
Type Of Link
The type of link you receive from another website or if you are given a website, web page, directory, or comment section link influences PageRank.
John Mueller, a Webmaster Trends Analyst at Google, insists the best type of backlink is a recommendation by somebody who thinks your content is excellent and shares a link to suggest your website to others. That’s why an in-content link passes along more PageRank and is weighted the most.
A comment, directory, forum, or social media backlink will pass along less link juice or PageRank because they are user-generated.
Link Attributes
A link attribute only sets a value to a specific link instance, i.e., the attribute has a different value for each pair of related pages. The rel attribute explains how the linked page and the link target are related. Links with the "nofollow" value in their rel property are referred to by the nofollow link attribute.
NoFollow tag
When it became publicly known that links pointing to a page increased PageRank and Google rankings, site owners scrambled to gather backlinks. Many site owners spammed comment sections of authoritative blogs or forums to get a backlink to their site.
In 2005, Google introduced the 'nofollow tag’. The nofollow tag stops links from passing along PageRank ‘link juice’. Webmasters could now use a nofollow tag to avoid harmful SEO spam from a page with open comments.
In other words, followed links may pass link equity or trust signals, whereas nofollow links prevent crawlers from following any links not meant to be considered for passing along PageRank.
Link Placement
In 2004's publicly released, Reasonable Surfer patent, it indicated that not all links are as likely as one another to be clicked. Therefore, each link would be assigned a different weight depending on where the link is placed.
Google deemed more important pages would be linked to at the top. This is because links placed on top of the page or links with informative anchor texts are usually more visible and attractive to users.
The search engine distributed more link juice to the links higher on the page than those near the bottom. This is called a damping factor.
The probability of a random visitor continuing to click on links while browsing the web ‘dampens’. Therefore, the amount of PageRank decreases with links further along the page or the probability of the link being clicked.
Anchor Text
Links with optimized anchor texts can influence PageRank. Anchor texts provide more accurate descriptions of web pages than the pages themselves. For example, if you wanted to rank a web page for the term "iPhone case" the more links pointing to your site with that term as an anchor text, the higher you would rank.
When site owners figured this out, they began racing to build links with ‘exact match anchors’ or anchor texts targeting the keyword they were trying to rank for. Although it initially worked, Google updated its algorithm to avoid this manipulation. Nowadays, you could receive a manual penalty if you overuse or abuse anchor texts in a way that looks unnatural.
Replacements for PageRank today?
There is still no replica of the PageRank tool available today. Many SEO tools try to replicate the tool by analyzing different metrics.
PageRank Versus Domain Authority
Moz introduced domain authority (DA) to predict how likely a website will rank in the SERPs. The DA scores range from one to 100, with higher scores correlated to a greater likelihood of ranking.
Multiple factors include the total number of links and linking root domains into a single DA score. The DA score measures the predictive ranking strength of entire domains or subdomains.
It should be noted that Domain Authority is not an official Google ranking factor or metric. Although many try to use DA as an alternative to PageRank, DA is calculated using a much more comprehensive range of metrics.
For example, DA takes into account:
Domain age
Value distribution or how many pages on your site are considered valuable
Link diversity
Domain spam signals
Number and quality of internal/ external links.
Domain authority is much more comprehensive than PageRank. DA essentially measures your relevance and popularity as well. You’d need to focus on more than backlinks to increase or improve your Domain Authority.
URL Rating Versus PageRank
Ahrefs rolled out a metric to show how strong a backlink profile of a target URL is on a scale from 1 to 100. This metric was named "URL Rating”. Although URL rating is presumably similar to PageRank, it is calculated differently.
According to Ahrefs, the URL rating formula takes into account:
The number of links between pages
They respect the “nofollow” attribute
They include the “damping factor”
Ahrefs compares links across the entire web
The Ahrefs crawler also counts every link pointing to a webpage; however, not every crawler works the same way. Only Google knows exactly how PageRank works and is calculated.
Wrapping Up
Hopefully, the guidelines presented above can clear up any misunderstandings and give you a good understanding of PageRank.
Even though there is no toolbar to show you how strong a page is in Google’s eyes, PageRank still plays a vital role in SEO today. We still have to understand how PageRank works and the different ways it can be influenced.
Keeping PageRank in mind will only benefit your SEO efforts, website rankings, and traffic.
Featured image source.
Should You Use Ai-Generated Content in Your SEO Strategy?
If you’re looking for ways to save time, AI content generation is a tempting option. But does it work? Should you use it? Check out our guide to learn more.
Read moreTopic Clusters: What Are They? Do They Help Your SEO? (with Video)
Learn how to implement a topic cluster strategy with our step-by-step guide plus a video.
Read more10 Essential SEO Content Optimization Tips for Marketers in 2023 and Beyond
Read our guide and discover ten SEO content optimization best practices to improve search engine visibility and drive more organic traffic to your website.
Read more